More time series graphics

BUS 323 Forecasting and Risk Analysis

Seasonal plots

  • Seasonal plots disaggregate a time series into “seasons”.
  • I’m going to work with the antidiabetic drug sales object we made last time to start:
library(fpp3)
a10 <- PBS |>
  filter(ATC2 == "A10") |>
  select(Month, Concession, Type, Cost) |>
  summarise(TotalC = sum(Cost)) |>
  mutate(Cost = TotalC/1e6)

Seasonal plots

  • To make a seasonal plot, use gg_season()
  • e.g.
a10 |>
  gg_season(Cost, labels="right") +
  labs(y = "$ (millions)",
    title = "Antidiabetic drug sales by year")

Seasonal plots

  • ?gg_season()
  • gg_season will assume you want to disaggregate by the largest frequency in the tsibble by default.

Seasonal plots

  • If your time series has multiple periods, you can specify which seasonal plot you want using the period argument.
  • vic_elec has half-hourly observations of electricity demand in Victoria. What does gg_season plot by default?
vic_elec |>
  gg_season(Demand) +
  labs(y="MWh", title="Electricity demand, Victoria")

Seasonal plots

  • Try head(vic_elec) to get a sense of the format of the time variable.
  • Use the period argument to produce a daily seasonal time plot:
vic_elec |>
  gg_season(Demand, period="day") +
  labs(y="MWh", title="Electricity demand by day, Victoria")

Seasonal plots

  • A weekly time plot:
vic_elec |>
  gg_season(Demand, period="week") +
  labs(y="MWh", title="Electricity demand by week, Victoria")

Seasonal subseries plots

  • gg_subseries()
  • Plots a time series by each season within a seasonal period.
  • e.g., using the antidiabetic drug sales dataset:
a10 |>
  gg_subseries(Cost) +
  labs(
    y = "$ (millions)",
    title = "Antidiabetic drug sales"
  )

Seasonal subseries plots

Exercise: holiday tourism

holidays <- tourism |>
  filter(Purpose == "Holiday") |>
  group_by(State) |>
  summarise(Trips = sum(Trips))
# A tsibble: 640 x 3 [1Q]
# Key:       State [8]
   State Quarter Trips
   <chr>   <qtr> <dbl>
 1 ACT   1998 Q1  196.
 2 ACT   1998 Q2  127.
 3 ACT   1998 Q3  111.
 4 ACT   1998 Q4  170.
 5 ACT   1999 Q1  108.
 6 ACT   1999 Q2  125.
 7 ACT   1999 Q3  178.
 8 ACT   1999 Q4  218.
 9 ACT   2000 Q1  158.
10 ACT   2000 Q2  155.
# ℹ 630 more rows

Exercise: holiday tourism autoplot

autoplot(holidays, Trips) +
  labs(y = "Overnight trips (thousands)",
  title = "Holiday trips by state")

Exercise: holiday tourism seasonal plot

gg_season(holidays, Trips) +
  labs(y = "Overnight trips (thousands)",
  title = "Holiday trips by state and year")

Exercise: holiday tourism subseries plots

gg_subseries(holidays, Trips) +
  labs(y = "Overnight trips (thousands)",
  title = "Holiday trips by state and quarter")

Scatterplots

  • Useful for visualizing relationships between variables.

Scatterplots

  • Suppose we think electricity demand and temperature are related. Here’s demand:

Scatterplots

  • Here’s temperature:

Scaterplots

  • Here’s a scatterplot:
vic_elec |>
  filter(year(Time) == 2014) |>
  ggplot(aes(x = Temperature, y = Demand)) +
  geom_point() +
  labs(title="Electricity demand and temperature",
       x = "Temperature (Celsius)",
       y = "Electricity demand (GW)")

Lag plots

  • Lagged values (\(y_{t-k}\)) are often useful predictors in forecasting.
  • We can use gg_lag() to get a quick sense of which might be important.
holidays |>
  filter(State == "ACT") |>
    gg_lag(Trips, geom = "point") +
    labs(x = "lag(Trips, k)")

Lag plots

Lag plots

  • Not much there. Let’s try another series:
recent_production <- aus_production |>
  filter(year(Quarter) >= 2000)
autoplot(recent_production, Beer)

Lag plots

  • There’s clear seasonality across years here. Let’s see what the lag plots say:
recent_production |>
  gg_lag(Beer, geom = "point") +
  labs(x = "lag(Beer, k)")

Lag plots

Autocorrelation and the ACF

  • ACF() calculates \(r_{k}\) for all \(k\) as specified by the lag_max option:
recent_production |>
  ACF(Beer, lag_max = 9)
# A tsibble: 9 x 2 [1Q]
       lag      acf
  <cf_lag>    <dbl>
1       1Q -0.0530 
2       2Q -0.758  
3       3Q -0.0262 
4       4Q  0.802  
5       5Q -0.0775 
6       6Q -0.657  
7       7Q  0.00119
8       8Q  0.707  
9       9Q -0.0888 

ACF plots

  • We can plot the autocorrelation coefficients easily with autoplot():
recent_production |>
  ACF(Beer) |>
    autoplot() +
    labs(title = "ACF plot: Beer production")

ACF plots in the presence of trend

  • When there is a trend, small lags tend to have high \(r_{k}\) and large lags tend to have small \(r_{k}\):

ACF plots in the presence of seasonality

  • When there is seasonality, \(r_{k}\) tend to be relatively large for the seasonal lags:

White noise

  • Time series with no or little autocorrelation are called white noise:
y <- tsibble(sample = 1:50, whitenoise = rnorm(50), index = sample)
y |>
  autoplot(whitenoise) +
  labs(title = "White noise")

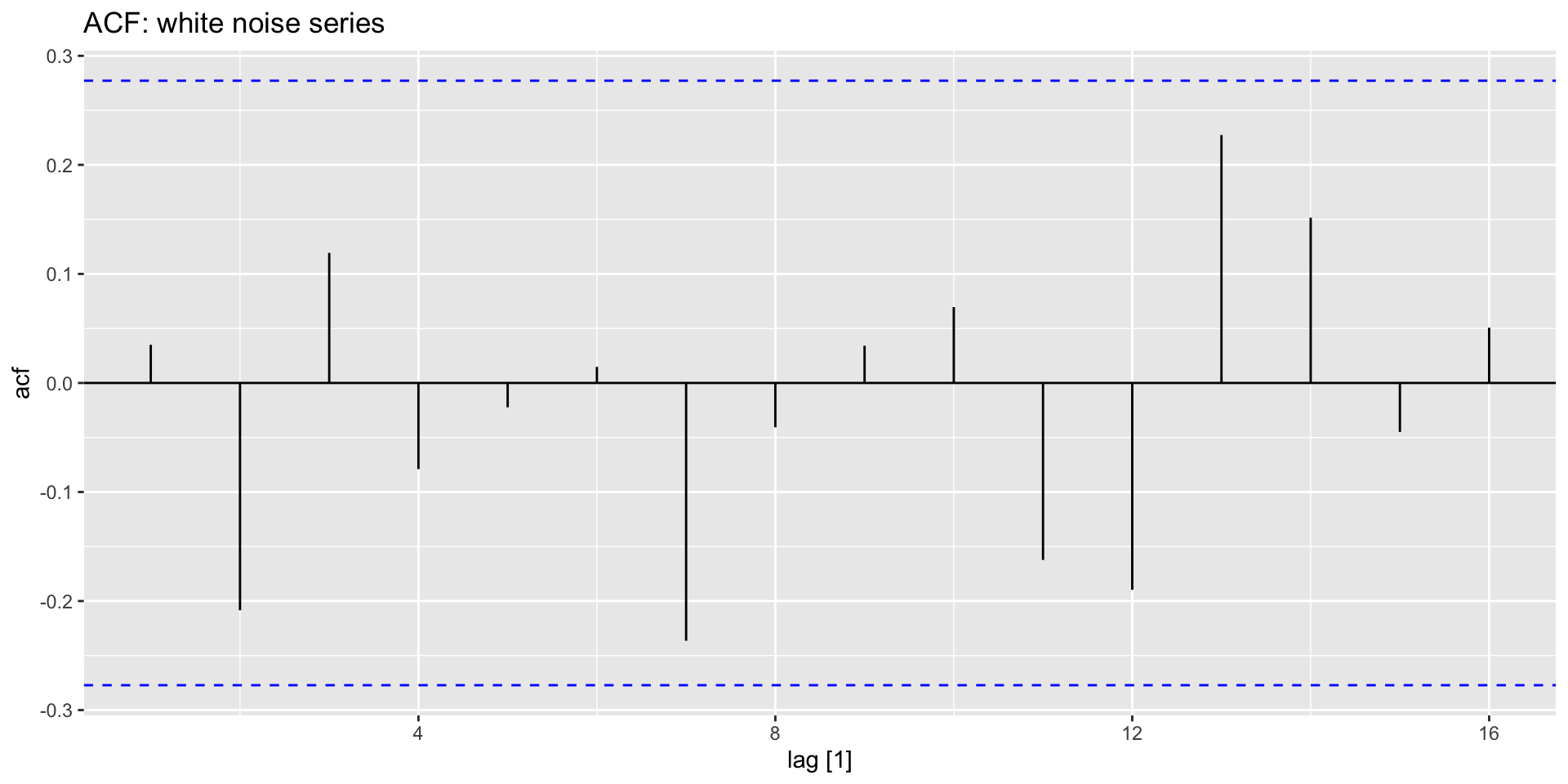
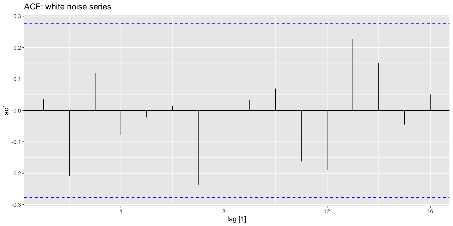
White noise ACF

  • The ACF plot for a white noise series should show \(r_{k}\) of zero on average:
y |>
  ACF(whitenoise) |>
    autoplot() +
    labs(title = "ACF: white noise series")

White noise ACF

  • 95% of \(r_{k}\) should lie within \(\pm \frac{1.96}{\sqrt{T}}\).
  • These bounds are shown in blue below.
  • Here \(T=50\), so the bounds are at \(\pm \frac{1.96}{\sqrt{50}} = \pm 0.28\). If more then 5% of the “spikes” extend beyond these bounds, it’s not a white noise series.